Programunk kérje be egy ember lakhelyének irányítószámát, a várost, a közterület nevét, a közterület jellegét, a házszámot és végül írja ki egy sorban a következő formátumban:
Pl.: 1010 Budapest Próba utca 1.
Programunk kérjen be egy Euró árfolyamát, majd azt, hogy hány eurót akarunk átváltani FT-ba. A program írja ki, hogy hány Ft az átváltott euró.
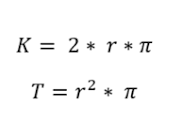
Írjunk programot, amely bekéri egy kör sugarát és kiszámolja a kör kerületét és területét!

Írjunk egy programot a Pitagorasz-tétel alkalmazására! A program kérje be egy derékszögű háromszög két befogóját és számítsa ki az átfogó hosszát!

Írjunk programot, amely bekéri egy téglalap oldalait és kiszámolja a kerületét, a területét és az átlóját !

Kérjük be a felhasználó tömegét kg-ban és magasságát cm-ben, majd számítsuk ki és írjuk a képernyőre a felhasználó testtömegindexét az alábbi képlet alapján! A program az eredményt kerekítse fölfelé a legközelebbi egészre!


Írj programot, mely a bekért oldal hosszúság alapján kiszámolja a szabályos hatszög átlóját, beírt és köréírt körének sugarát, kerületét és területét!
Az eredményeket 2 tizedesnyi pontossággal jelenítsd meg!

Írj programot mely bekéri egy téglatest három (a, b, c) oldalát!
A bekért oldalak alapján a program kiszámítsa ki a téglatest felszínét és térfogatát!
Az eredményeket 2 tizedesnyi pontossággal jelenítse meg!
A program kerekítse is a számított értékeket: 1: a térfogatot lefelé - egészre, 2: a felszint felfelé - egészre!

Írjunk egy programot, amely egy háromjegyű véletlenszámot generál, majd kiírja a generált számot!
Programunk adjon meg véletlenszerűen egy 0 és 25 közötti egész számot, illetve egy 0 és 25 közötti tizedestörtet! Írassa is ki a generált számokat!
Programunk adjon meg véletlenszerűen kettő darab 1 és 20 közötti egész számot és számítsa ki a két szám összegét, különbségét, szorzatát, hányadosát, maradékát, egész részét és hatványát!