Írj programot, amely bekéri egy szabályos háromszög oldalhosszúságát.
A bekért oldalhosszúság alapján kiszámolja a szabályos háromszög
Segítség a számításhoz:

Várt eredmény:

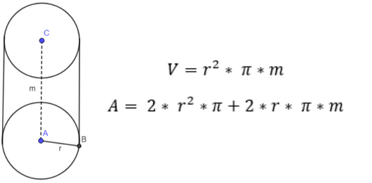
Írj programot mely bekéri egy henger sugarát és magasságát! A bekért sugát és magasság alapján a program kiszámítja:
Az eredményeket 2 tizedesnyi pontossággal jelenítse meg!
A program kerekítse is a számított értékeket:
Segítség a számításhoz:

Várt eredmény:

Írj programot amely véletlenszerűen generál kettő darab 1 és 50 közötti egész számot! A program írja ki a 2 generált véletlen számot, majd számítsa ki a két szám:
Várt eredmény:
